Bạn đang tìm kiếm Giải bài 18, 19 trang 52 SGK Toán 9 tập 1 2023 phải không? Xin chúc mừng bạn đã tìm đúng chỗ rồi! Hãy đọc ngay bài viết dưới đây của Tekmonk
Giải bài tập trang 52 bài 3 đồ thị của hàm số y = ax + b (a ≠ 0) Giải bài SGK Toán 9 tập 1. Câu 18: Biết rằng với x = 4 thì hàm số y = 3x + b có giá trị là 11. Tìm b. Vẽ đồ thị của hàm số với giá trị b vừa tìm được…
Bài 18 trang 52 sgk Toán 9 tập 1
a) Biết rằng với x = 4 thì hàm số y = 3x + b có giá trị là 11. Tìm b. Vẽ đồ thị của hàm số với giá trị b vừa tìm được.
b) Biết rằng đồ thị của hàm số y = ax + 5 đi qua điểm A (-1; 3). Tìm a. Vẽ đồ thị của hàm số với giá trị a vừa tìm được.
Giải:
a) Thế (x = 4) và (y = 11) vào (y = 3x +b)
Ta có: (11 = 3.4 + b ⇔ b = -1).
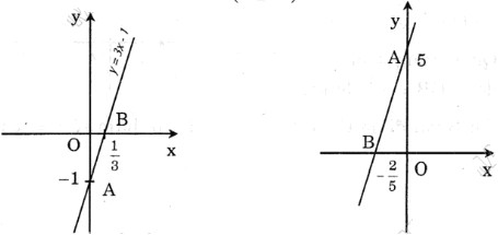
Khi đó hàm số đã cho trở thành: (y = 3x – 1). Đây là đường thẳng đi qua 2 điểm (A(0;-1)) và (Bleft( {{1 over 3};0} right))
b) Đồ thị hàm số (y = ax + 5) đi qua điểm (A(-1; 3))
(eqalign{
& Leftrightarrow 3 = aleft( { – 1} right) + 5 cr
& Leftrightarrow a = 2 cr} )
Khi đó hàm số đã cho trở thành: (y = 2x + 5). Đây là đường thẳng đi qua hai điểm (A(0; 5)) và B (left( { – {5 over 2};0} right))
Bài 19 trang 52 sgk Toán 9 tập 1
Đồ thị của hàm số (y = sqrt 3 x + sqrt 3 ) được vẽ bằng compa và thước thẳng.
Hãy tìm hiểu cách vẽ đó rồi nêu lại các bước thực hiện.
Áp dụng: Vẽ đồ thị của hàm số (y = sqrt 5 x + sqrt 5 ) bằng compa và thước thẳng.
Hướng dẫn. Tìm điểm trên trục tung có tung độ bằng (sqrt 5 ).
Giải:
Hình trên diễn tả cách dựng đoạn thẳng có độ dài bằng (sqrt 5 ).
Đồ thị hàm số (y = sqrt 5 x + sqrt 5 ) đi qua hai điểm (A(0; sqrt 5)) và (B(-1; 0)).
chinese.com.vn/giao-duc
Bạn đang đọc : Giải bài 18, 19 trang 52 SGK Toán 9 tập 1 2023 được cập nhập bởi Tekmonk.
Thông tin và kiến thức về chủ đề Giải bài 18, 19 trang 52 SGK Toán 9 tập 1 2023 do Học viện Công nghệ Tekmonk chọn lọc và tổng hợp cùng với các chủ đề liên quan khác.
Tham khảo thêm các khóa học công nghệ đỉnh cao tại: Học viện công nghệ Tekmonk 
Nguồn: Internet
- Anna gấu 33 livestream link facebook
- ChatGPT là gì? 6 Khóa học chat gpt cực chất 2023
- #5 Nơi Lấy Code Fifa Mobile Hàn Quốc, Code FIFA Mobile Nexon uy tín 2023
- App china Xingtu tải app Xingtu cho ios, android mới 2023❤️
- TOP 10 phần mềm học lập trình cho trẻ em tốt nhất 2022
- Top 14 nơi đào tạo lập trình cho trẻ tốt nhất 2022
- Khóa học lập trình cho trẻ em tốt nhất 2023 Hà nội, TpHCM ✅
- Lập trình ứng dụng bằng Thunkable có khó với trẻ em?
- Lập trình Game Lợi ích ít người biết đến 2022
- Kodu Game Lab – Ngôn ngữ Lập trình cho trẻ em cực chất 2023
- Bia hơi Hà Nội Keg 2 lít giá bảo nhiều
- Top 10 đam mỹ sinh tử văn truyenfull 2022
- Top 27 bài về trà đen lộc phát hay nhất 2023
- Cách Xem, Kiểm tra, Tra cứu Chi Nhánh Ngân hàng MBbank trên App 2023
- Top 5 App, phần mềm vẽ tranh trên ipad cho bé miễn phí 2023
- Top 18 bài về con bo bo hay nhất 2023
- Top 27 bài về 8850228000151 hay nhất 2022
- Top 11 bài về khu dân cư hoàng quân hay nhất 2023
- Top 25 bài về biển nào không cho phép rẽ phải hay nhất 2023
- Top 13 nhóm kín telegram hay nhất 2023



