Bạn đang tìm kiếm Hóa học 9 Bài 44: Rượu etylic – Giải bài tập SGK Hóa học 9 Bài 44 2023 phải không? Xin chúc mừng bạn đã tìm đúng chỗ rồi! Hãy đọc ngay bài viết dưới đây của Tekmonk
Hóa học 9 Bài 44: Rượu etylic được Tekmonk hy vọng sẽ là là tài liệu hữu ích giúp các em nắm vững kiến thức bài học và đạt kết quả tốt trong các bài thi, bài kiểm tra trên lớp.
Tóm tắt lý thuyết Hóa học 9 Bài 44
Công thức phân tử rượu etylic: C2H6O
Phân tử khối: 46
I. TÍNH CHẤT VẬT LÍ
Rượu etylic (hay ancol etylic hoặc etanol) là chất lỏng, không màu, sôi ở 78,3°C, nhẹ hơn nước, tan vô hạn trong nước và hòa tan được nhiều chất như iot, benzen…
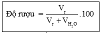
Độ rượu là số ml rượu etylic có trong 100 ml hỗn hợp rượu với nước
Trong đó: Vr là thể tích rượu nguyên chất.
Hình 1: Cách pha rượu 45o
II. CẤU TẠO PHÂN TỬ
Rượu etylic có công thức cấu tạo:
hay CH3 – CH2 – OH viết gọn: C2H5OH
Nhận xét: Trong phân tử rượu etylic có một nguyên tử hiđro không liên kết với nguyên tử cacbon mà liên kết với nguyên tử oxi, tạo ra nhóm -OH. Chính nhóm -OH này làm cho rượu có tính chất đặc trưng.
III. TÍNH CHẤT HÓA HỌC.
a) Phản ứng cháy
Rượu etylic cháy với ngọn lửa màu xanh, tỏa nhiều nhiệt.
b) Tác dụng với kim loại mạnh như K, Na,… giải phóng khí H2
Ví dụ: 2CH3 – CH2 – OH + 2Na → 2CH3 – CH2 – ONa + H2.
Hình 2: Minh họa thí nghiệm rượu etylic tác dụng với Na.
c) Tác dụng với axit axetic
Rươu etylic tác dụng với axit axetic thu được este.
Phương trình hóa học:
IV) ỨNG DỤNG.
Rượu etylic có nhiều ứng dụng như:
– Làm nguyên liệu sản xuất axit axetic, dược phẩm, cao su tổng hợp, các loại đồ uống.
– Làm nhiên liệu cho động cơ; nhiên liệu cho đèn cồn trong phòng thí nghiệm…
– Làm dung môi pha vecni, nước hoa…
V) ĐIỀU CHẾ
Rượu etylic thường được điều chế theo các cách sau:
Giải bài tập SGK Hóa học 9 Bài 44
Bài 1 (trang 139 SGK Hóa 9)
Rượu etylic phản ứng được với natri vì:
A. Trong phân tử có nguyên tử oxi.
B. Trong phân tử có nguyên tử hidro và nguyên tử oxi.
C. Trong phân tử có nguyên tử cacbon, hidro và oxi.
D. Trong phân tử có nhóm – OH.
Lời giải:
Đáp án: D.
Câu A, B, C không chính xác.
Bài 2 (trang 139 SGK Hóa 9)
Trong số các chất sau: CH3 – CH3, CH3 – CH2OH, C6H6, CH3 – O – CH3 chất nào tác dụng được với Na? Viết phương trình hóa học.
Lời giải:
2CH3CH2OH + 2Na → 2 CH3CH2ONa + H2↑
Bài 3 (trang 139 SGK Hóa 9)
Có ba ống nghiệm: Ống 1 đựng rượu etylic ống 2 đựng rượu 96o, ống 3 đựng nước. Cho Na dư vào các ống nghiệm trên, viết các phương trình hóa học.
Lời giải:
Các phương trình phản ứng hóa học:
Ống 1: Rượu etylic tác dụng với Na
2CH3CH2OH + 2Na → 2CH3CH2ONa + H2
Ống 2: Rượu 96o tác dụng với Na ⇒ gồm C2H5OH và H2O tác dụng với Na
2H2O + 2Na → 2NaOH + H2
2CH3CH2OH + 2Na → 2CH3CH2ONa + H2
Ống 3: Nước tác dụng với Na
2H2O + 2Na → 2NaOH + H2
Bài 4 (trang 139 SGK Hóa 9)
Trên các chai rượu đều có ghi các số, thí dụ 45o, 18o, 12o.
a) Hãy giải thích ý nghĩa của các số trên.
b) Tính số ml rượu etylic có trong 500ml chai rượu 45o.
c) Có thể pha được bao nhiêu lít rượu 25o từ 500ml rượu 45o.
Lời giải:
a) Các con số 45o, 18o, 12o có nghĩa là trong 100ml có rượu 45ml, 18ml, 12ml rượu nguyên chất.
b) Số ml rượu etylic có trong 500ml rượu 45o là:
c) 900ml = 0,9 lít
Theo câu b): Trong 500ml rượu 45o có 225ml rượu nguyên chất.
⇒ Số ml rượu 25o pha chế được từ 500ml rượu 45o (hay từ 225ml rượu nguyên chất) là:
Bài 5 (trang 139 SGK Hóa 9)
Đốt cháy hoàn toàn 9,2g rượu etylic.
a) Tính thể tích khí CO2 tạo ra ở điều kiện tiêu chuẩn.
b) Tính thể tích không khí (ở điều kiện tiêu chuẩn) cần dùng cho phản ứng trên biết oxi chiếm 20% thể tích của không khí.
Lời giải:
a) PTHH:
Theo pt: nCO2 = 2. nC2H6O = 2. 0,2 = 0,4 (mol)
→ VCO2 (đktc) = 0,4. 22,4 = 8,96 (l)
b) Theo pt: nO2 = 3. nC2H6O = 0,6 (mol) → VO2 (đktc) = 0,6. 22,4 = 13,44 (l)
Vì oxi chiếm 20% thể tích không khí nên V không khí =
Trắc nghiệm Hóa học 9 Bài 44 (có đáp án)
Câu 1: Công thức cấu tạo của rượu etylic là
A. CH2 – CH3 – OH.
B. CH3 – O – CH3.
C. CH2 – CH2 – OH2.
D. CH3 – CH2 – OH.
Đáp án: D
Câu 2: Nhận xét nào sau đây là sai?
A. Rượu etylic là chất lỏng, không màu.
B. Rượu etylic tan vô hạn trong nước.
C. Rượu etylic có thể hòa tan được iot.
D. Rượu etylic nặng hơn nước.
Đáp án: D
D sai vì rượu etylic nhẹ hơn nước.
Câu 3: Nhận xét nào đúng về nhiệt độ sôi của rượu etylic?
A. Rượu etylic sôi ở 100°C.
B. Nhiệt độ sôi của rượu etylic cao hơn nhiệt độ sôi của nước.
C. Rượu etylic sôi ở 45°C.
D. Rượu etylic sôi ở 78,3°C.
Đáp án: D
Câu 4: Độ rượu là
A. số ml rượu etylic có trong 100 ml hỗn hợp rượu với nước.
B. số ml nước có trong 100 ml hỗn hợp rượu với nước.
C. số gam rượu etylic có trong 100 ml hỗn hợp rượu với nước.
D. số gam nước có trong 100 gam hỗn hợp rượu với nước.
Đáp án: A
Câu 5: Trong 100 ml rượu 40° có chứa
A. 40 ml nước và 60 ml rượu nguyên chất.
B. 40 ml rượu nguyên chất và 60 ml nước.
C. 40 gam rượu nguyên chất và 60 gam nước.
D. 40 gam nước và 60 gam rượu nguyên chất.
Đáp án: B
Câu 6: Để phân biệt hai chất lỏng không màu là benzen và rượu etylic ta dùng
A. sắt.
B. đồng
C. natri.
D. kẽm.
Đáp án: C
Sử dụng kim loại Na
+ Mẩu Na tan dần, có khí thoát ra → rượu etylic
2CH3 – CH2 – OH + 2Na → 2CH3 – CH2 – ONa + H2↑
+ Không có hiện tượng xuất hiện → benzen
Câu 7: Rượu etylic tác dụng được với dãy hóa chất là
A. NaOH; Na; CH3COOH; O2.
B. Na; K; CH3COOH; O2.
C. C2H4; K; CH3COOH; Fe.
D. Ca(OH)2; K; CH3COOH; O2.
Đáp án: B
Câu 8: Cho 11,2 lít khí etilen (ở đktc) tác dụng với nước có axit sunfuric đặc làm xúc tác, thu được 9,2 gam rượu etylic. Hiệu suất phản ứng là
A. 40%.
B. 40%.
C. 50%.
D. 60%.
Đáp án: A
Khối lượng rượu etylic thu được theo lý thuyết là: mLT = 0,5.46 = 23 gam.
Hiệu suất phản ứng là:
Câu 9: Cho 23 gam rượu etylic nguyên chất tác dụng với kali dư. Thể tích khí H2 thoát ra (ở đktc) là
A. 2,8 lít.
B. 5,6 lít.
C. 8,4 lít.
D. 11,2 lít.
Đáp án: B
Vậy Vkhí = 0,25.22,4 = 5,6 lít.
Câu 10: Hòa tan 30 ml rượu etylic nguyên chất vào 90 ml nước cất thu được
A. rượu etylic có độ rượu là 20°.
B. rượu etylic có độ rượu là 25°.
C. rượu etylic có độ rượu là 30°.
D. rượu etylic có độ rượu là 35°.
Đáp án: B
******************
Trên đây là nội dung bài học Hóa học 9 Bài 44: Rượu etylic do Tekmonk bao gồm phần lý thuyết, giải bài tập và các câu hỏi trắc nghiệm có đáp án đầy đủ. Hy vọng các em sẽ nắm vững kiến thức về Rượu etylic. Chúc các em học tập thật tốt và luôn đạt điểm cao trong các bài thi bài kiểm tra trên lớp.
Biên soạn bởi: chinese.com.vn/giao-duc
Bạn đang đọc : Hóa học 9 Bài 44: Rượu etylic – Giải bài tập SGK Hóa học 9 Bài 44 2023 được cập nhập bởi Tekmonk.
Thông tin và kiến thức về chủ đề Hóa học 9 Bài 44: Rượu etylic – Giải bài tập SGK Hóa học 9 Bài 44 2023 do Học viện Công nghệ Tekmonk chọn lọc và tổng hợp cùng với các chủ đề liên quan khác.
Tham khảo thêm các khóa học công nghệ đỉnh cao tại: Học viện công nghệ Tekmonk 
Nguồn: Internet
- Anna gấu 33 livestream link facebook
- ChatGPT là gì? 6 Khóa học chat gpt cực chất 2023
- #5 Nơi Lấy Code Fifa Mobile Hàn Quốc, Code FIFA Mobile Nexon uy tín 2023
- App china Xingtu tải app Xingtu cho ios, android mới 2023❤️
- TOP 10 phần mềm học lập trình cho trẻ em tốt nhất 2022
- Top 14 nơi đào tạo lập trình cho trẻ tốt nhất 2022
- Khóa học lập trình cho trẻ em tốt nhất 2023 Hà nội, TpHCM ✅
- Lập trình ứng dụng bằng Thunkable có khó với trẻ em?
- Lập trình Game Lợi ích ít người biết đến 2022
- Kodu Game Lab – Ngôn ngữ Lập trình cho trẻ em cực chất 2023
- Chơi Sorare kiếm tiền-Đánh giá và hướng dẫn chơi Sorare 2022
- Top 13 bài về c1 hcm hay nhất 2023
- Cách đặt mã PIN cho Sim trên iPhone và Android để tăng cường bảo mật 2022
- Soạn bài viết đoạn văn trình bày luận điểm (ngắn gọn) – I Trình bày luận điểm thành một đoạn văn nghị luận
- Cách mở khóa Facebook và lấy lại mật khẩu khi không vào được
- Top 12 bài về phim yêu tôi đừng nghĩ nhiều tập 1 hay nhất 2022
- Cách nộp báo cáo thuế qua mạng 2023
- Top 18 bài về thuốc 555 hay nhất 2023
- Top 25 bài về bài thơ chú bộ đội hay nhất 2023
- Top 18 bài về mu online alpha test hom nay hay nhất 2023



